금융부동산주식
인천 계양 서해그랑블 더테라스 입주자 모집공고 I 민간분양 아파트청약
이야기캐는광부
2021. 8. 12. 01:50
반응형
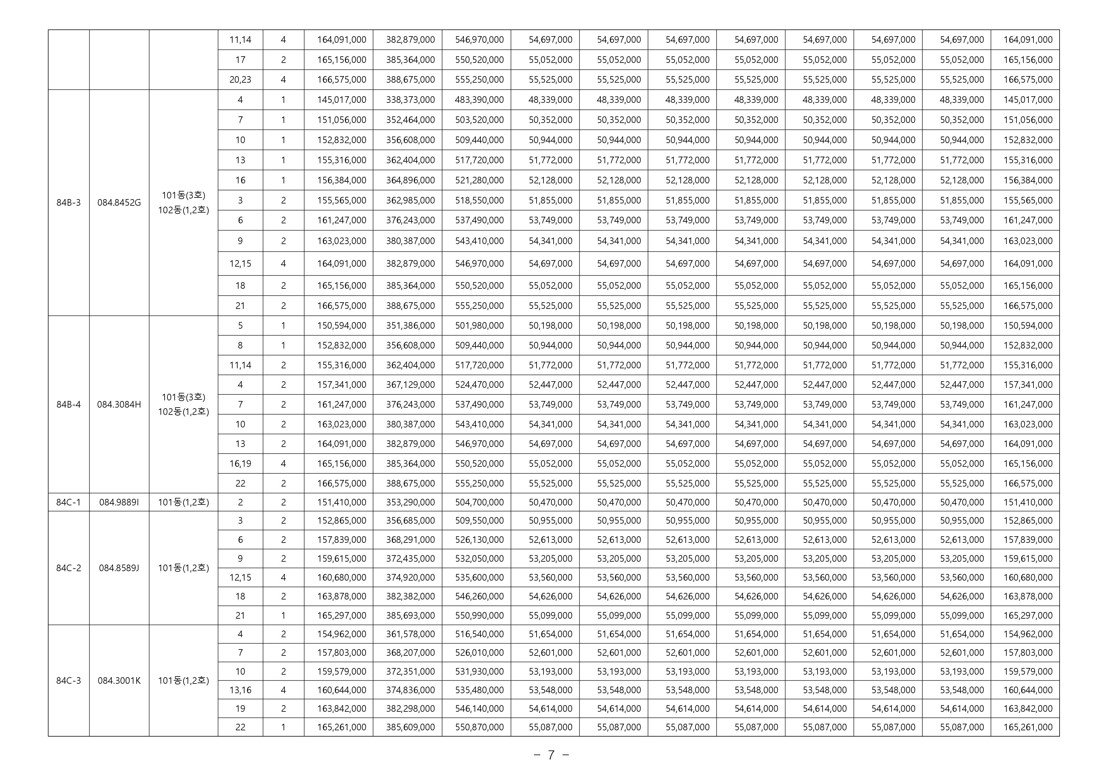
계양 서해그랑블 더테라스 입주자 모집공고 및 평형별 평면도, 동호배치도 관련 내용입니다. 참고하시기 바랍니다.

| 서해종합건설이 선보이는 인천시 계양구 계양 서해그랑블 더테라스가 8월 분양에 나선다. 인천시 계양구 효성동 일대에 들어설 예정인 계양 서해그랑블 더테라스는 테라스를 겸비한 쾌적한 전용면적 84㎡ 신평형 타입의 124가구로 구성될 예정이다. 또한 자녀들이 안심하고 도보로 통학할 수 있는 학세권은 물론 아파트 단지 인근에 이마트 계양점과 롯데마트, 홈플러스 등 쇼핑환경과 서운체육공원, 계양체육관 등 생활인프라를 갖추고 있다. 특히 서울 외곽 순환 고속도로 계양 IC와 경인고속도로 부평 IC가 단지 인근에 위치해 광역 교통망이 편리하고 인천지하철 1호선 작전역이 가까워 쾌속한 교통 환경을 누릴 수 있다. 기사 출처 : http://www.sentv.co.kr/news/view/599732 |
계양 서해그랑블 더테라스 아파트 청약일정(2021년 8월)


























































http://www.gyseohai.co.kr/main/main.asp
계양 서해그랑블 더테라스
전세대 테라스형 아파트, 5Bay+2α, 생활의 감동을 두 칸 더 드립니다!
www.gyseohai.co.kr
반응형