금융부동산주식
이천 휴먼빌 에듀파크시티 입주자 모집공고(21.12.10)
이야기캐는광부
2021. 12. 12. 18:48
반응형
이천 휴먼빌 에듀파크시티 입주자 모집공고(21.12.10)입니다.
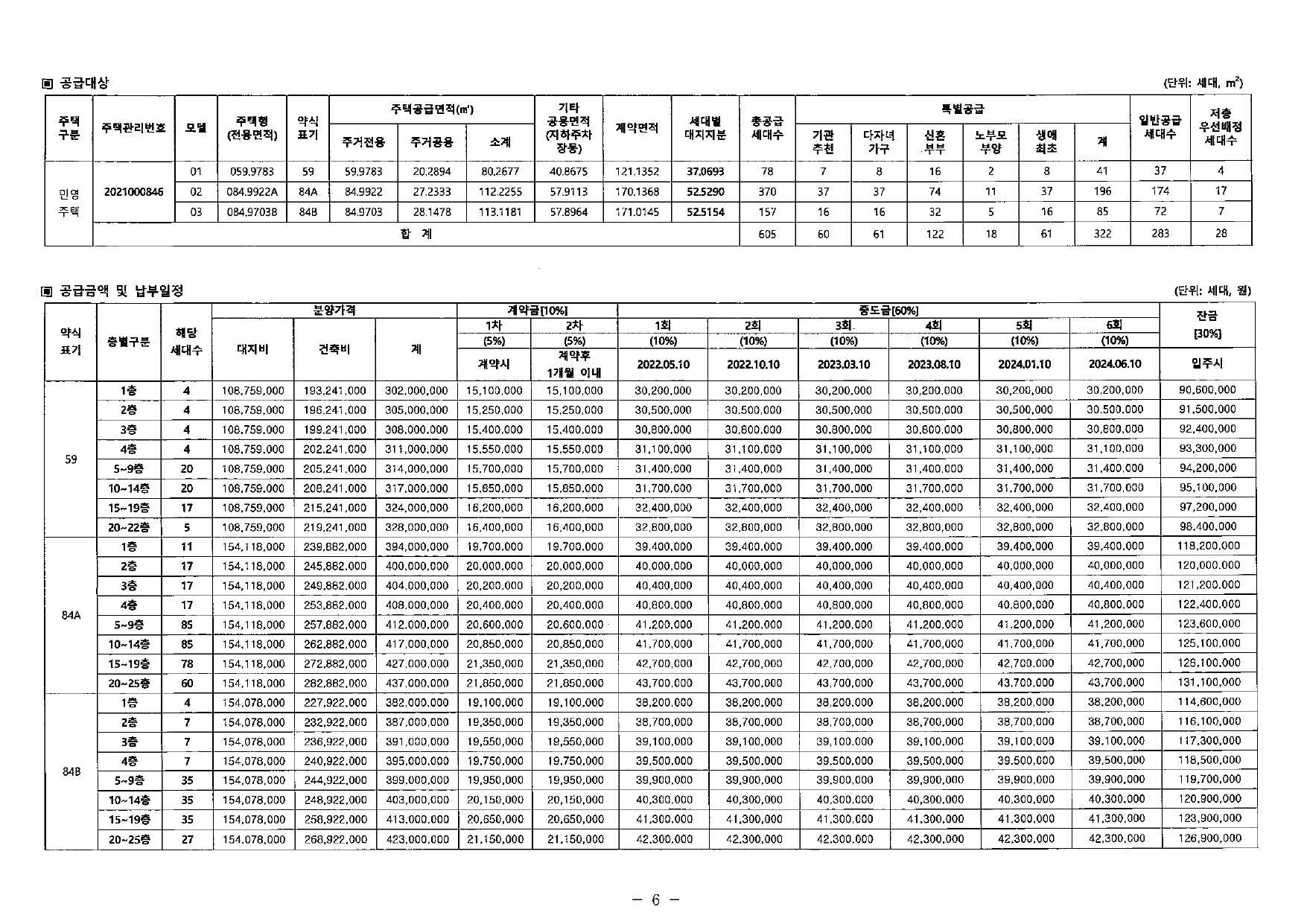
이천 휴먼빌 에듀파크시티는 경기도 이천시 사동리 일원에 지하 2층, 지상 25층 규모로 건설됩니다.
자세한 입주자 모집공고 내용은 다음과 같습니다.






























































2021000846 이천 휴먼빌 에듀파크시티 입주자모집공고문.pdf
2.42MB
반응형