시험채용정보
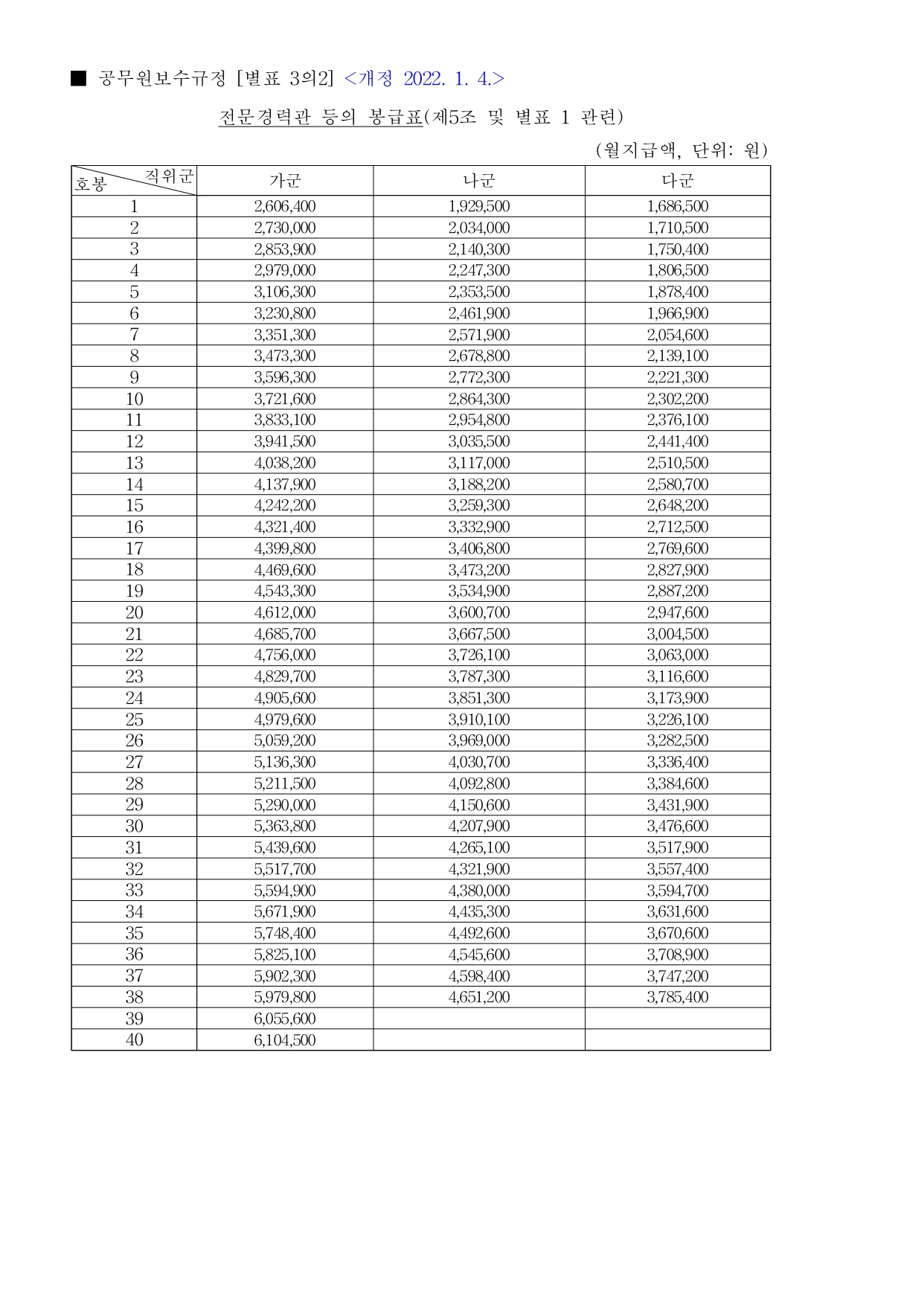
2022년도 공무원 봉급표 보수 총정리
이야기캐는광부
2022. 1. 16. 00:15
반응형
2022년도 공무원 봉급표 총정리입니다.
일반직 공무원, 소방공무원, 전문경력관, 경찰공무원, 우정직 등 다양한 공무원별 봉급표입니다.










반응형