금융부동산주식
힐스테이트 세운 센트럴 1단지, 2단지 입주자 모집 공고
이야기캐는광부
2022. 4. 9. 22:05
반응형
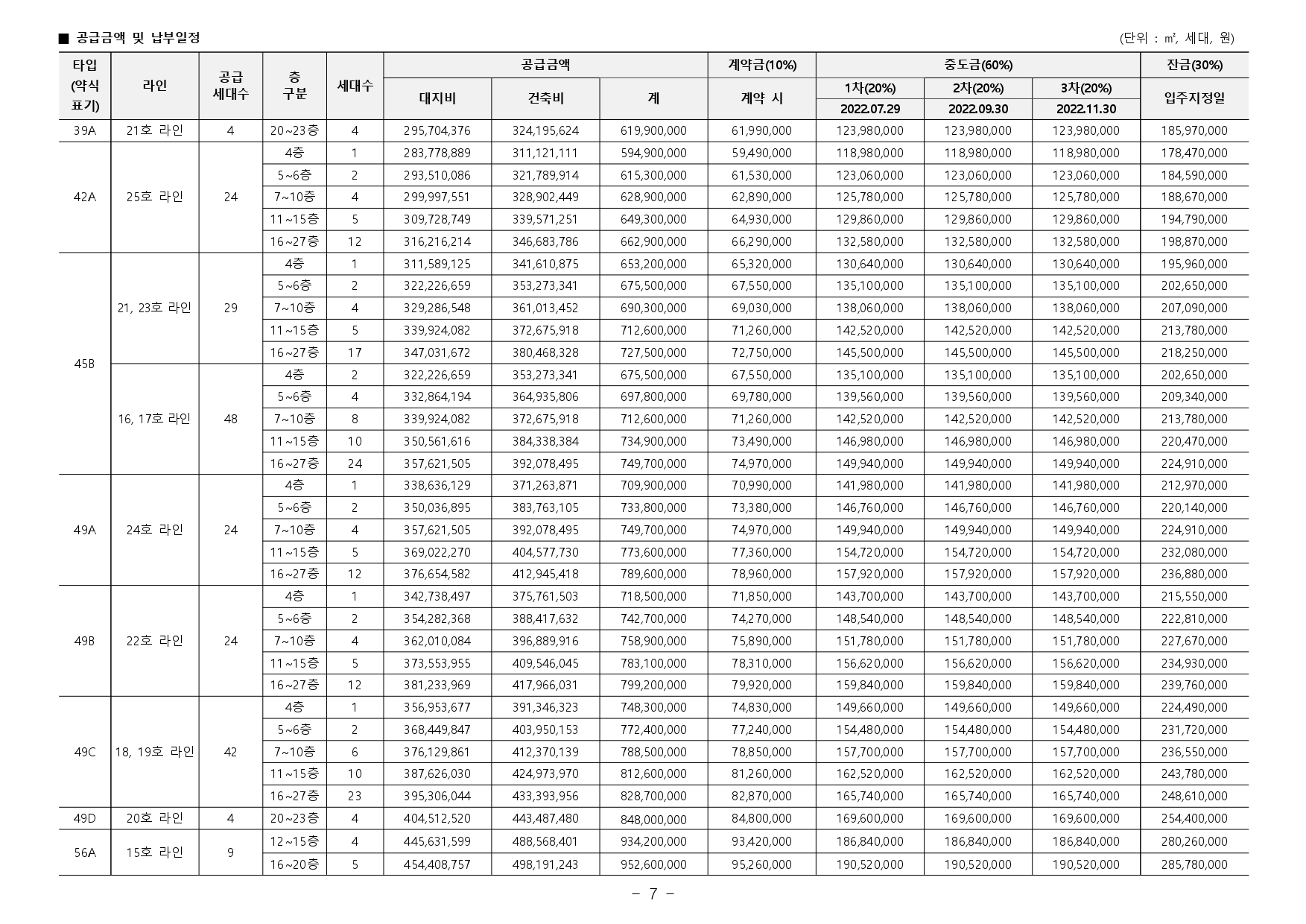
힐스테이트 세운 센트럴 1단지, 2단지 입주자 모집 공고입니다.
1단지 모집공고.
2022000128 힐스테이트 세운 센트럴 1단지 입주자모집공고문.pdf
1.28MB
2022000129 힐스테이트 세운 센트럴 2단지 입주자모집공고문.pdf
1.24MB

















































2단지 모집공고


















































반응형