반응형
힐스테이봉담 프라이드시티 아파트 입주자 모집 공고 안내입니다.
| 현대건설은 13일 경기도 화성시 봉담 내리지구 도시개발지구 2블록에서 선보이는 ‘힐스테이트 봉담 프라이드시티’ 온라인 홍보관을 열고 본격 분양에 나선다. 힐스테이트 봉담 프라이드시티는 지하 3층~지상 35층, 17개동, 전용 59~105㎡ 2333세대로 총 4034세대로 조성되는 봉담 프라이드시티의 마지막 단지다. 전용면적별 세대수는 △59㎡ 1071세대 △72㎡ 644세대 △84㎡ 615세대 △105㎡ 3세대(펜트하우스) 펜트하우스를 제외하고 전주택형이 중소형으로만 이뤄진다. 힐스테이트 봉담 프라이드시티는 삼봉산 자락에 둘러싸인 것을 비롯해 축구장 2배 규모 근린공원과 맞닿아 있어 단지 안팎에서 쾌적한 숲세권 힐링라이프를 누릴 수 있다. 단지 주변으로 다양한 교통망도 잘 갖춰져 있다. 인근으로 비봉~매송간 도시고속도로, 수도권 제2순환고속도로(송산~봉담) 서해안고속도로, 수원광명간고속도로 등의 광역도로망이 있어 차량을 통해 타 지역 이동이 수월하다. 특히, 내리지구와 인접해 있는 매봉로를 통해 봉담2지구로 직접 이동이 가능하고, 내리지구 남측으로 내리~상기리(322번 지방도)간 도로 신설도 검토 중에 있어 교통여건은 더욱 좋아질 전망이다. 기사 출처 : https://www.donga.com/news/article/all/20210813/108544333/2 |

힐스테이봉담 프라이드시티 청약 일정

힐스테이봉담 프라이드시티 1순위, 일반공급 청약 조건

힐스테이봉담 프라이드시티 특별공급 청약 조건

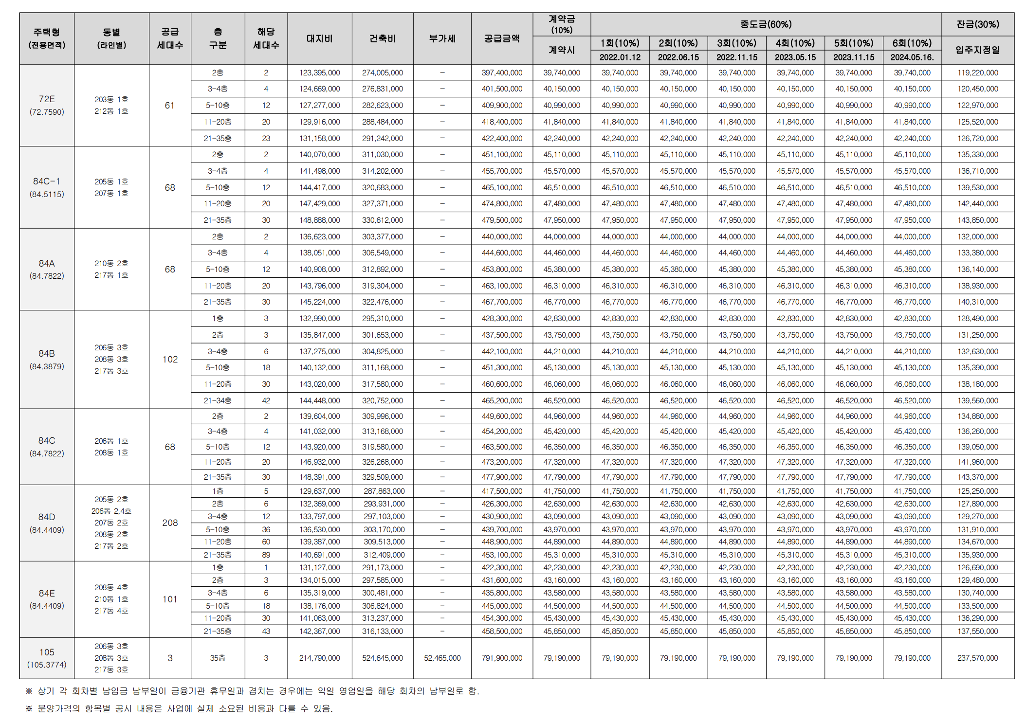
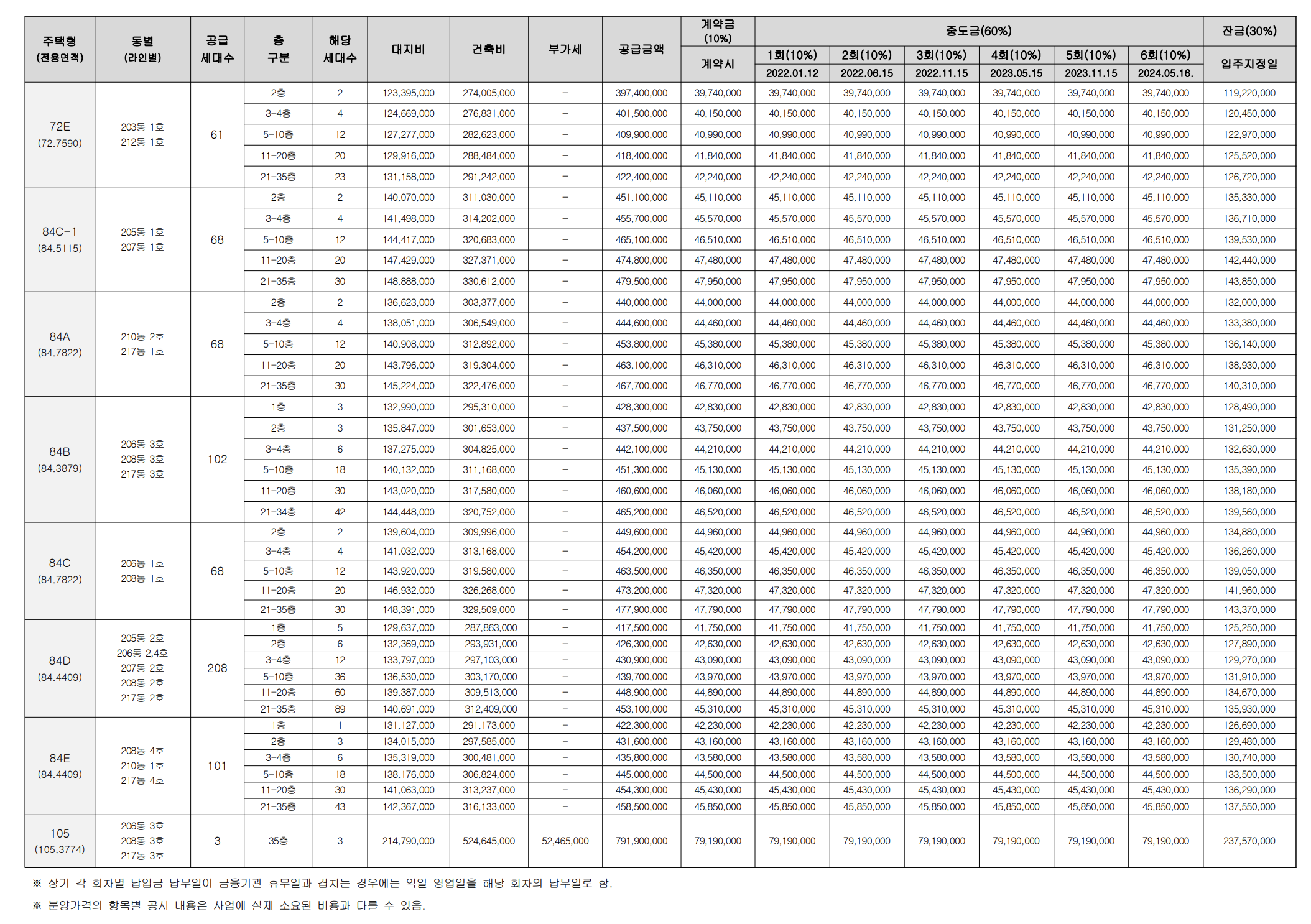
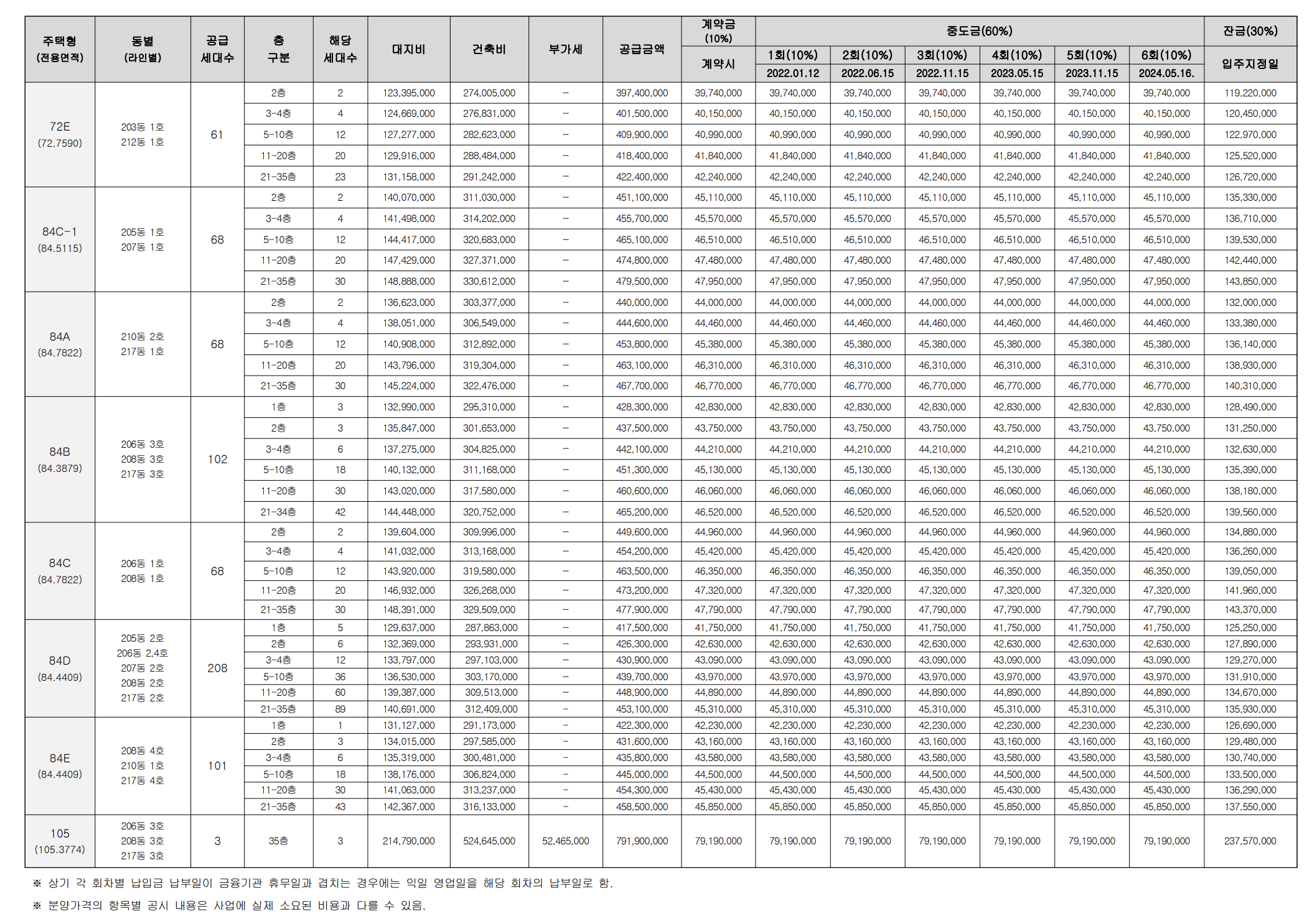
힐스테이봉담 프라이드시티 공급대상


힐스테이봉담 프라이드시티 공급대상 / 더 자세하게 / 잘 안보이니 이미지 클릭해서 확대



힐스테이봉담 프라이드시티 단지 배치도

힐스테이봉담 프라이드시티 주변 입지

힐스테이봉담 프라이드시티 59평형 안내





힐스테이봉담 프라이드시티 72평형 안내





힐스테이봉담 프라이드시티 84평형 안내






힐스테이봉담 프라이드시티 105평형 안내

힐스테이봉담 프라이드시티 견본주택, 현장위치

입주자 모집공고
http://www.bd-pridecity.com/pdf/salenotice_hillstate.pdf?v=202108132035557415573
입주자 모집공고 요약.pdf
5.01MB
http://www.bd-pridecity.com/hillstate/index.asp
봉담 프라이드시티
4,034세대 브랜드시티
www.bd-pridecity.com
반응형
'금융부동산주식' 카테고리의 다른 글
| 2021 전세형 매입입대주택 입주자 모집공고 LH한국토지주택공사 (0) | 2021.08.15 |
|---|---|
| 가입자가 연금 수령액 설계 주택연금 출시 안내 I 한국주택금융공사 (0) | 2021.08.14 |
| 의왕 더샵캐슬 장기전세주택 입주자 모집공고, 경기주택도시공사 (0) | 2021.08.13 |
| [신혼희망타운]과천지식정보타운 린파밀리에 입주자 모집공고 및 평형 사진 (0) | 2021.08.13 |
| [공공분양주택]과천지식정보타운 린파밀리에 입주자 모집 공고, 평면도 (0) | 2021.08.13 |
댓글