충남 아산시에 들어서는 모종리슈빌더스카이 아파트 모집공고, 평형타입 안내입니다.
| 도시재생사업추진과 초고층 주상복합건물이 들어설 아산 원도심 지역이 새로운 부흥을 준비하고 있다. 특히 ‘모종 리슈빌 더 스카이’ 는 모종동이라는 아산 내에서도 핵심적인 입지 기반 위 랜드마크로 거듭날 것이라는 기대를 받고 있다. ‘모종 리슈빌 더 스카이’는 아산시 모종동·562-1번지 일원에 최대 40층에 달하는 초고층 아파트로 들어설 예정으로 아산시를 한 눈에 내려다볼 수 있다는 장점과 더불어 고가치, 고품격 거주공간으로 평가된다. 아파트·268세대, 오피스텔·24실 등 292세대가 들어서며 KB부동산신탁이 수탁하고 ㈜다온도시개발 시행, 동성건설 시공으로 만19세 이상 성인이라면 청약통장 가입기간·6개월만 지나면 청약신청을 할 수 있다. 오는 19일 특별공급을 시작으로 20일 1순위 일반공급, 23일 2순위 일반공급, 27일 당첨자를 발표하고 9월 7일부터 9일까지 계약한다. 모종 리슈빌 더 스카이는 인접한 아산충무병원, 아산시청, 온양3동 주민센터, 이마트 아산점 등 각종 의료·편의시설의 혜택을 누릴 수 있다는 점도 눈여겨볼 만하며 온양온천초, 온양한올중, 온양한올고, 아산중·고 등 교육 인프라도 갖추고 있어 신혼부부는 물론 자녀가 있는 세대에서도 관심이 높다. 기사 출처 : 금강일보(http://www.ggilbo.com) |
■ 본 아파트는 2021.07.05. 시행된 「주택공급에 관한 규칙」이 적용됩니다.
■ 본 아파트의 최초 입주자모집공고일은 2021.08.09입니다.(청약자격조건의 기간, 나이, 지역우선 등의 청약자격조건 판단기준일입니다.) ■
해당 주택건설지역 아산시는 「주택법」 제63조 및 제63조의 제2에 의한 비투기과열지구 및 비청약과열지역으로서, 본 아파트는 「주택공급에 관한 규칙」에 따라 1주택 이상 소유한 세대에 속한 분도 1순위 자격이 부여됩니다.
■ 본 아파트는 수도권 외 비투기과열지구 및 비청약과열지역의 민간택지에서 공급하는 분양가상한제 미적용 민영주택으로 「주택공급에 관한 규칙」 제54조에 따른 재당첨제한을 적용받지 않고 기존 주택 당 첨여부와 관계없이 본 아파트 청약이 가능합니다.(단, 본 제도는 당첨된 청약통장의 재사용을 허용하는 제도가 아니므로 당첨된 청약통장은 계약여부와 관계없이 재사용이 불가능합니다.)
■ 본 아파트의 당첨자로 선정 시 당첨자 및 세대에 속한 자는 당첨일로부터 향후 5년간 투기과열지구 및 청약과열지역에서 공급하는 주택의 1순위 청약접수가 제한되오니 유의하시기 바랍니다.
■ 본 아파트 최초 입주자모집공고일(2021.08.09) 현재 아산시에 거주하거나 충청남도, 세종시, 대전광역시에 거주(주민등록표등본 기준)하는 만19세 이상인 자 또는 세대주인 미성년자(자녀양육, 형제자매부 양)[국내에서 거주하는 재외동포(재외국민, 외국국적 동포) 및 외국인 포함]의 경우 청약이 가능합니다. 다만 청약 신청자 중 같은 순위 내 경쟁이 있을 경우 해당 주택건설지역인 아산시 거주자가 우선합니 다.

모종 리슈빌 더스카이 사업명 및 위치

모종 리슈빌 더스카이 단지배치도

모종 리슈빌 더스카이 청약일정

모종 리슈빌 더스카이 특별공급 청약 안내

모종 리슈빌 더스카이 일반공급 청약안내

모종 리슈빌 더스카이 인터넷 청약 안내

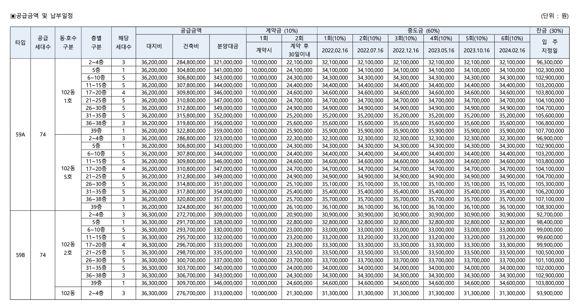
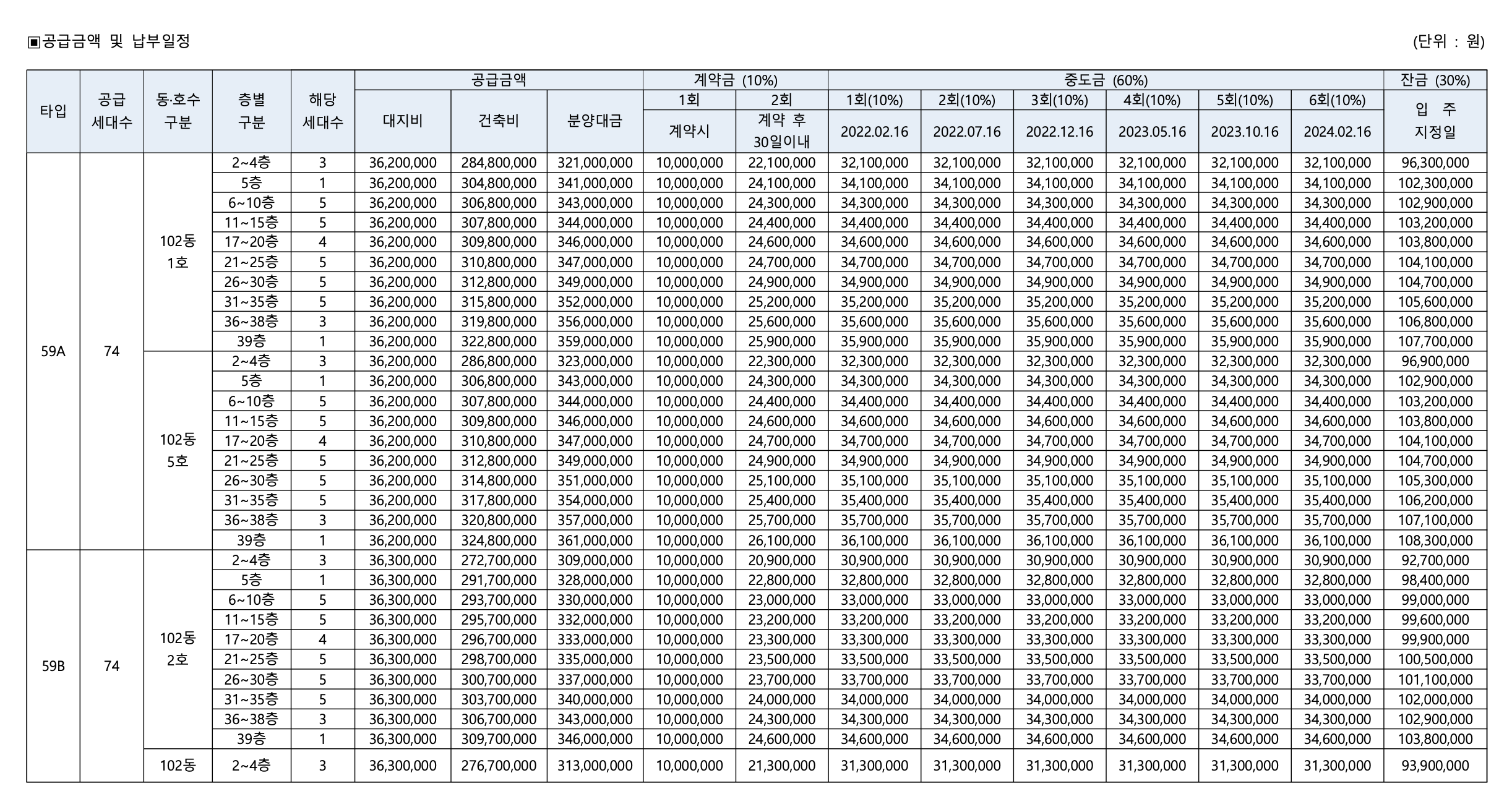
모종 리슈빌 더스카이 공급금액, 공급세대 및 납부일정


모종 리슈빌 더스카이 평형별 타입 안내
아파트 평형별 타입안내






오피스텔 평형별 타입



모종리슈빌더스카이 자세한 모집공고 바로가기 :
http://richeville-thesky.com/info/recruit-notice.php
모종 리슈빌 더 스카이
40층 주상복합 랜드마크 아파트 - 모종 리슈빌 더 스카이
richeville-thesky.com
'금융부동산주식' 카테고리의 다른 글
| 여수금호어울림 오션테라스 입주자 모집공고 및 평형 안내 (0) | 2021.08.18 |
|---|---|
| 정부5차 재난지원금 지원내용, 온라인신청방법, 신청시기 안내 (0) | 2021.08.18 |
| 부산광역시 전세형 공공건설임대주택 입주자 모집 공고 (0) | 2021.08.18 |
| 펫펨족을 위한 펫보험, 펫책임보험, 펫적금 안내 I 금융감독원 (0) | 2021.08.17 |
| 대전용운 에일린의뜰 공동주택 평형별 평면도 (0) | 2021.08.17 |
댓글