반응형
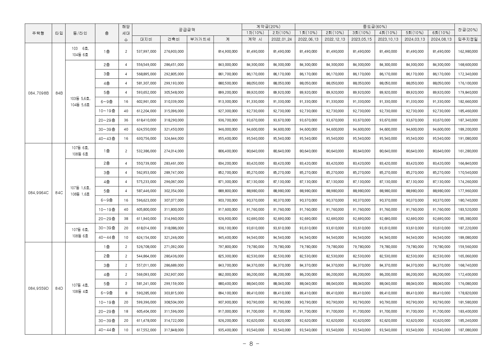
송도 자이 더 스타 입주자 모집공고(21.11.5)입니다.
- 한국부동산원 청약홈 청약콜센터(1644-7445)는 청약홈 홈페이지(www.applyhome.co.kr) 이용안내 및 기본적인 청약자격 상담을 하고 있으며, 고객 상담 과정에서 청약자 개인의 다양하고 복잡한 상황에 대한 정확하지 않은 정보의 제 공으로 일부 착오 안내가 이루어지는 경우가 있습니다. 청약콜센터 상담내용은 법적 효력이 없으므로 참고자료로만 활용해 주시기 바라며 청약자격 미숙지, 착오신청 등에 대해서는 청약자 본인에게 책임이 있으니 자세한 문의사항은 시행위탁자 또는 시공사를 통해 확인하시어 불이익을 받는 일이 없도록 유의하여 주시기 바랍니다.
- 본 아파트는 2021.09.27. 개정된 「주택공급에 관한 규칙」이 적용됩니다.
- 본 입주자모집공고문에 명시되지 아니한 사항은 「주택법」 및 「주택법 시행령」과 「주택공급에 관한 규칙」등 관계 법령이 적용됩니다.
- 본 아파트의 최초 입주자모집공고일은 (2021.11.05) 입니다.(청약자격조건의 기간, 나이, 지역우선 등의 청약자격조건 판단기준일입니다)
- 해당 주택건설지역(인천 경제자유구역 송도국제도시)은「수도권정비계획법」제6조 제1항 및 제2항의 규정에 의한 성장관리권역이며, 「주택법」 제63조 및 제63조의2에 의한 투기과열지구 및 청약과열지역으로서 본 아파트는 「주택공급에제한 기간 내에 있는 자 및 그 세대에 속한 자는 본 아파트 청약이 불가합니다.(단, 본 제도는 당첨된 청약통장의 재사용을 허용하는 제도가 아니므로 당첨된 청약통장은 계약여부와 관계없이 재사용이 불가합니다)
- 관한 규칙」에 따라 1주택 이상 소유한 세대에 속한 분은 1순위 가점제 청약이 불가하며, 2주택 이상 소유한 세대에 속한 분은 1순위 자격에서 제외됩니다.(무주택 세대 또는 1주택을 소유한 세대에 속한 분만 1순위 청약 가능)



















































반응형
댓글