반응형
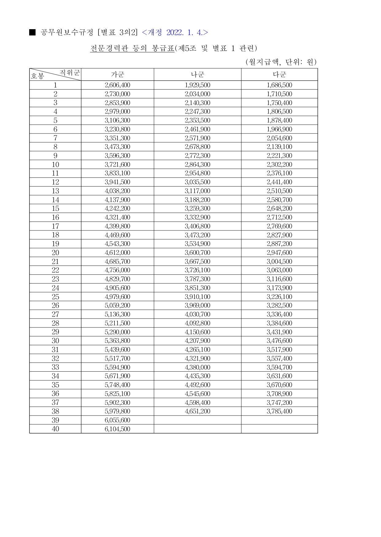
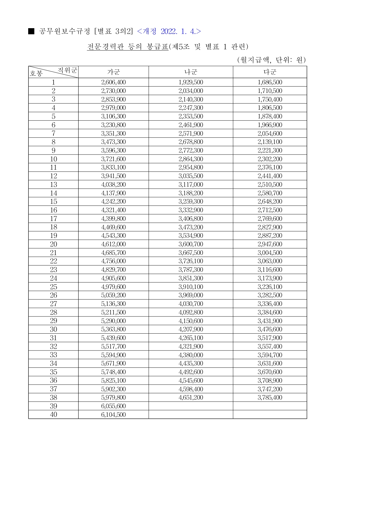
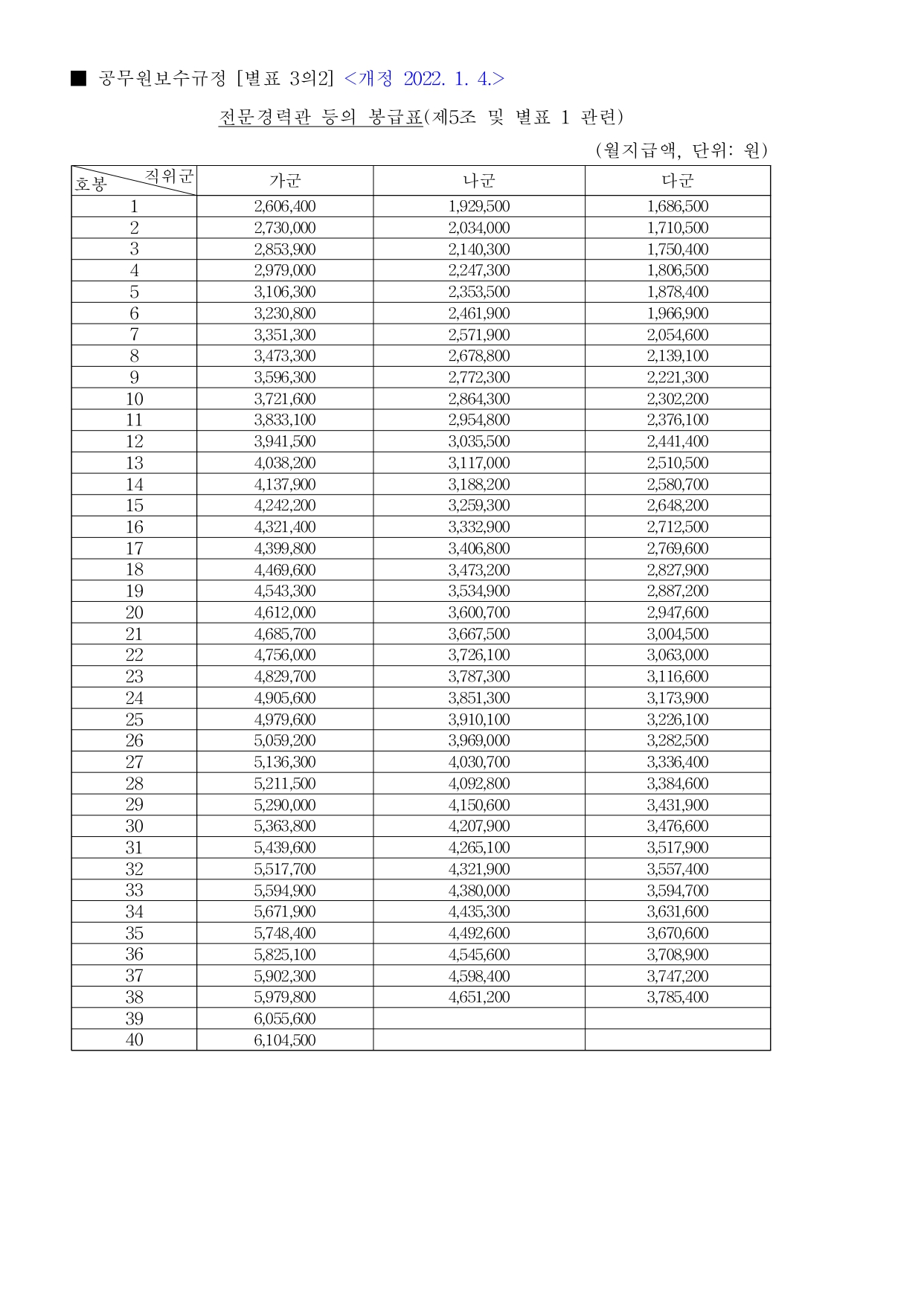
2022년도 공무원 봉급표 총정리입니다.
일반직 공무원, 소방공무원, 전문경력관, 경찰공무원, 우정직 등 다양한 공무원별 봉급표입니다.










반응형
'시험채용정보' 카테고리의 다른 글
| 고용창출장려금 및 고용안정장려금 지원사업 공고 안내 (0) | 2022.01.18 |
|---|---|
| 2022년 육아휴직급여 및 출산육아기 고용안정장려금 개편 내용 정리 (0) | 2022.01.17 |
| 2022년도 국가기술자격검정 시행공고 (0) | 2022.01.15 |
| 2022년도 제33회 감정평가사 국가자격시험 시행계획 공고 (0) | 2022.01.14 |
| 2022년도 제39회 관세사 국가자격시험 시행계획 공고 (0) | 2022.01.13 |
댓글