반응형
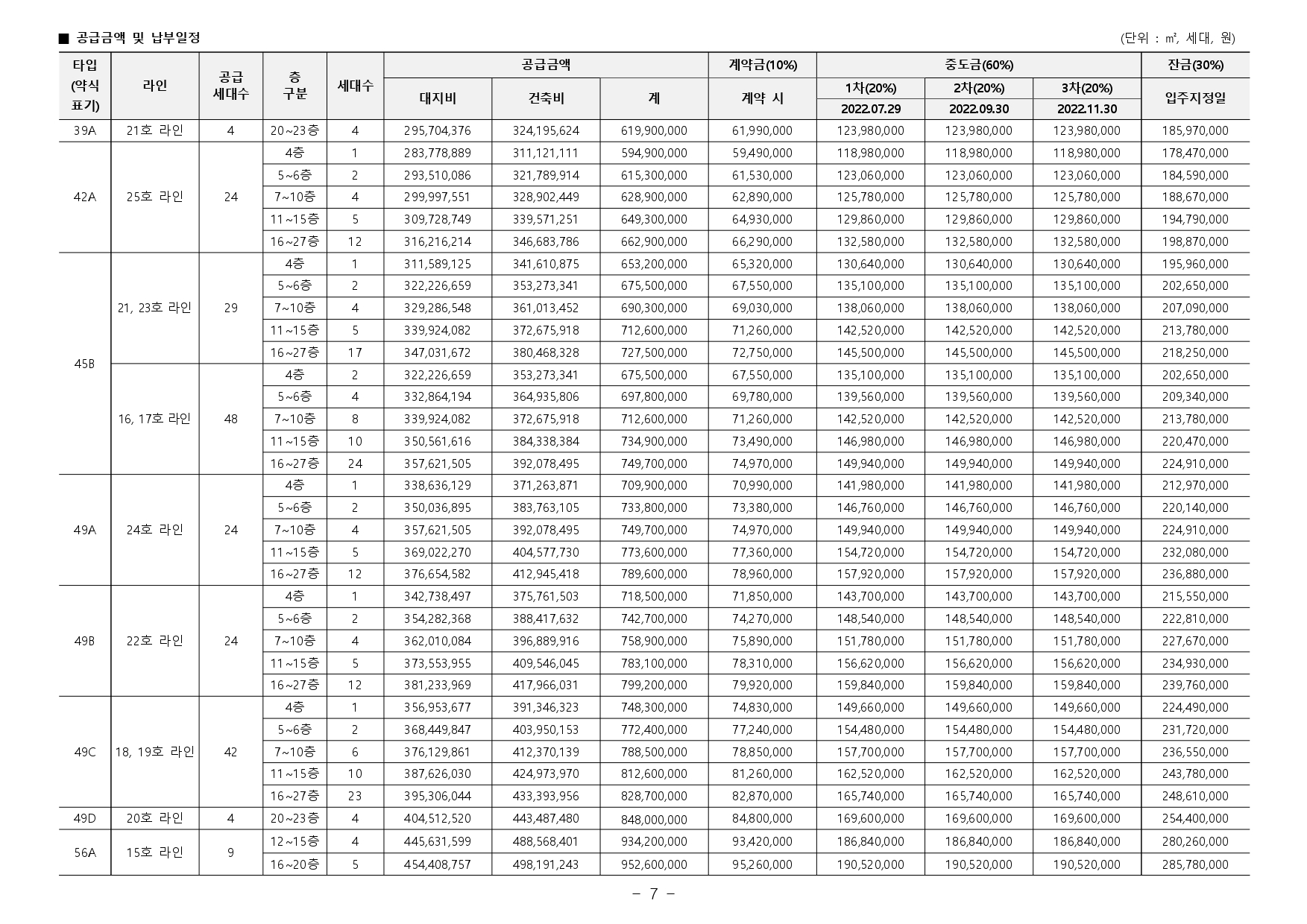
힐스테이트 세운 센트럴 1단지, 2단지 입주자 모집 공고입니다.
1단지 모집공고.
2022000128 힐스테이트 세운 센트럴 1단지 입주자모집공고문.pdf
1.28MB
2022000129 힐스테이트 세운 센트럴 2단지 입주자모집공고문.pdf
1.24MB

















































2단지 모집공고


















































반응형
'금융부동산주식' 카테고리의 다른 글
| 남양주 진접 부영 사랑으로 우선 분양전환후 잔여세대 입주자 모집 (0) | 2022.04.12 |
|---|---|
| 2022 수원지역 10년 공공임대주택 예비입주자 모집 공고 (0) | 2022.04.12 |
| 칸타빌 수유팰리스 민영주택 무순위(사후) 입주자 모집공고 (1) | 2022.04.06 |
| 서울 강남5, 서초3단지 장기전세주택 예비입주자 모집(입주자모집공고일 : 22. 03. 17. ) (0) | 2022.03.18 |
| 수서역세권 A3블록 신혼희망타운(공공분양) 잔여세대 입주자모집공고 (0) | 2022.03.18 |
댓글