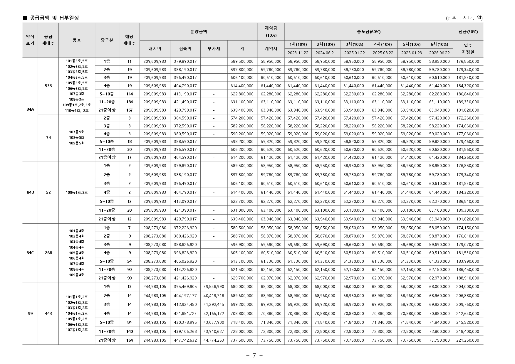
인천 연희공원 호반써밋 파크에디션 입주자모집공고입니다.
■ 본 아파트의 최초 입주자모집공고일은 2023.07.06.입니다.(청약자격조건의 기간, 나이, 지역우선 등의 청약자격조건 판단기준일입니다.)
■ 해당 주택건설지역(인천광역시 서구)은 「주택법」 제63조 및 제63조의2에 의한 비투기과열지구 및 비청약과열지역(비조정지역)으로서, 본 아파트는 「주택공급에 관한 규칙」에 따라 1주택 이상 소유한 세대에 속한 분도 1순위 자격이 부여됩니다.
■ 본 아파트는 당첨자 발표일이 동일한 모든 주택(민간 사전청약, 분양주택, 분양전환공공임대주택)에 한하여 1인 1건만 신청이 가능하며, 2건 이상 중복신청시 모두 무효처리 또는 당첨자 선정 이후에도 당첨 무효(예비입주자 지위 무효)되오니 유의하시기 바랍니다.(단, 동일단지내 1인이 특별공급 및 일반공급에 각 1건씩 청약가능하며, 특별공급 당첨자로 선정시 일반공급 선정 대상에서 제외처리 합니다.)
■ 본 아파트는 수도권 내 비투기과열지구 및 비청약과열지역의 민간택지에서 공급하는 분양가상한제 미적용 민영주택으로 당첨자로 선정시「주택공급에 관한 규칙」 제54조에 따른 재당첨 제한을 적용받지 않고 기존 주택 당첨여부와 관계없이 본 아파트 청약이 가능합니다. (단, 본 제도는 당첨된 청약통장의 재사용을 허용하는 제도가 아니므로 당첨된 청약통장은 계약여부와 관계없이 재사용이 불가합니다.) * ‘20.4.16. 이전 최초 입주자모집공고 승인 신청하여 입주자를 모집한 경우, 재당첨 제한 적용기간은 종전의 규정을 따르므로 과거 당첨된 주택의 재당첨 제한 기간은 당첨 주택의 입주자모집공고문 또는 청약홈 > 마이페이지 > 청약제한사항 확인 메뉴를 통해 개별 확인하여 주시기 바랍니다.
■ 본 아파트의 당첨자로 선정 시 당첨자 및 세대에 속한 자는 당첨일로부터 향후 5년간 투기과열지구 및 청약과열지역에서 공급하는 주택의 1순위 청약접수가 제한되오니 유의하시기 바랍니다.
■ 본 아파트는 최초 입주자모집공고일(2023.07.06.) 현재 인천광역시에 거주하거나 수도권(서울특별시, 경기도)에 거주(주민등록표등본 기준)하는 만19세 이상인 자 또는 세대주인 미성년자(자녀양육, 형제자매부양) [국내에서 거주하는 재외동포(재외국민, 외국국적 동포) 및 외국인 포함]의 경우 청약이 가능합니다. 다만 청약 신청자 중 같은 순위 내에 경쟁이 있을 경우 해당 주택건설지역인 인천광역시 거주자가 우선합니다.


































































'금융부동산주식' 카테고리의 다른 글
| 내집마련 디딤돌 대출 자세히 알아보기 (0) | 2023.08.04 |
|---|---|
| 2023 세법 개정안 (0) | 2023.08.02 |
| 2023년 공공전세주택 매입임대 1차 입주자 모집공고 (0) | 2023.07.03 |
| 소상공인 희망플러스 신용대출 연장 등 추진 (0) | 2023.01.18 |
| 특례보금자리론 신청 접수 1월 30일부터 (0) | 2023.01.15 |
댓글