반응형
이천 휴먼빌 에듀파크시티 입주자 모집공고(21.12.10)입니다.
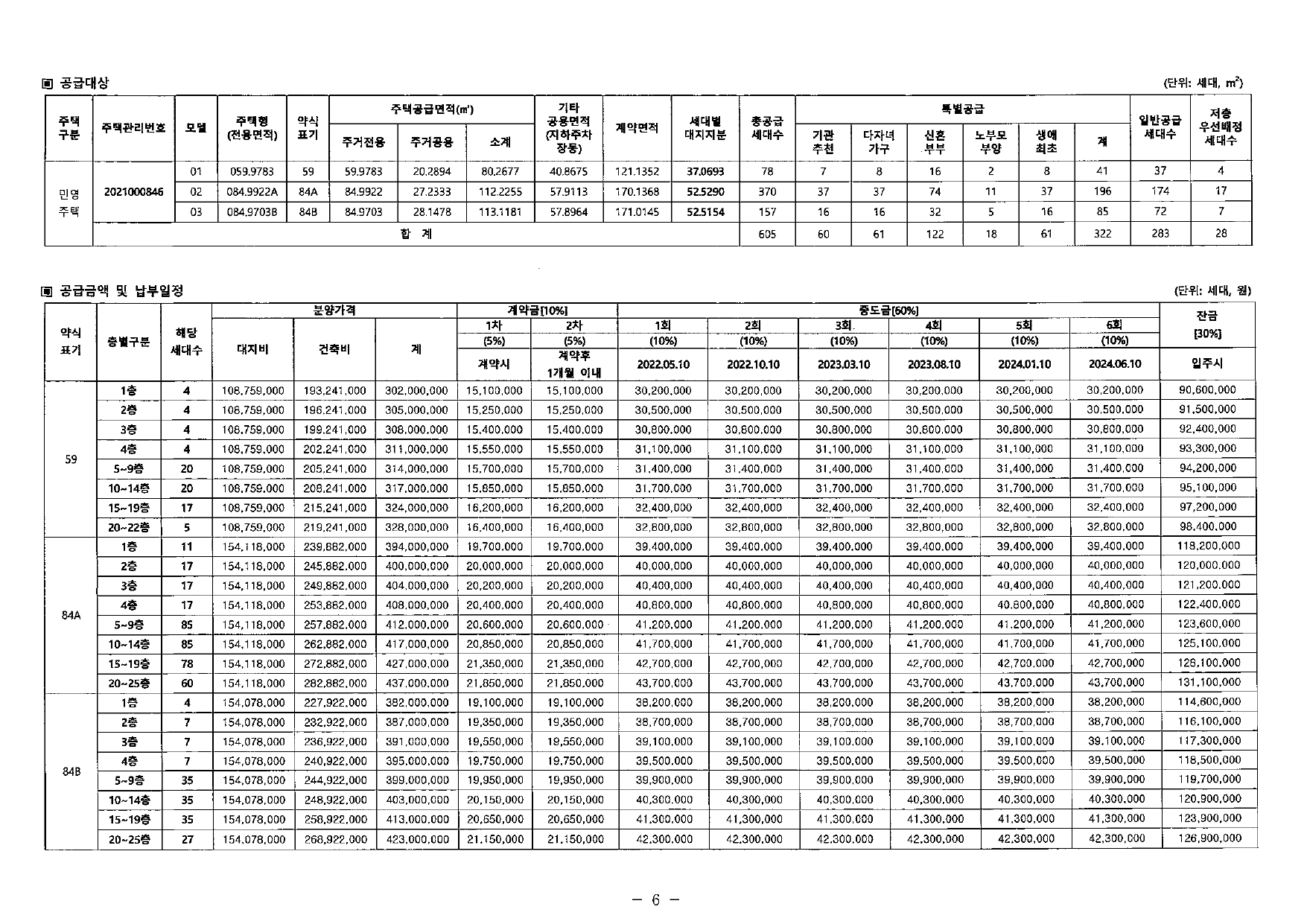
이천 휴먼빌 에듀파크시티는 경기도 이천시 사동리 일원에 지하 2층, 지상 25층 규모로 건설됩니다.
자세한 입주자 모집공고 내용은 다음과 같습니다.






























































2021000846 이천 휴먼빌 에듀파크시티 입주자모집공고문.pdf
2.42MB
반응형
'금융부동산주식' 카테고리의 다른 글
| 송도국제도시 B3블록 더샵 송도아크베이 입주자모집공고 (0) | 2021.12.24 |
|---|---|
| e편한세상 신곡 파크프라임 입주자모집공고(21.12.17) (0) | 2021.12.22 |
| 화성 송산 동원로얄듀크 파크 입주자 모집공고 (0) | 2021.12.10 |
| 부천 힐스테이트 소사역 분양 일정 및 입주자 모집공고 (0) | 2021.12.07 |
| 도봉 롯데캐슬 골든파크 장기일반민간임대주택 임차인 모집 공고 (0) | 2021.12.07 |
댓글