반응형
    
    
    
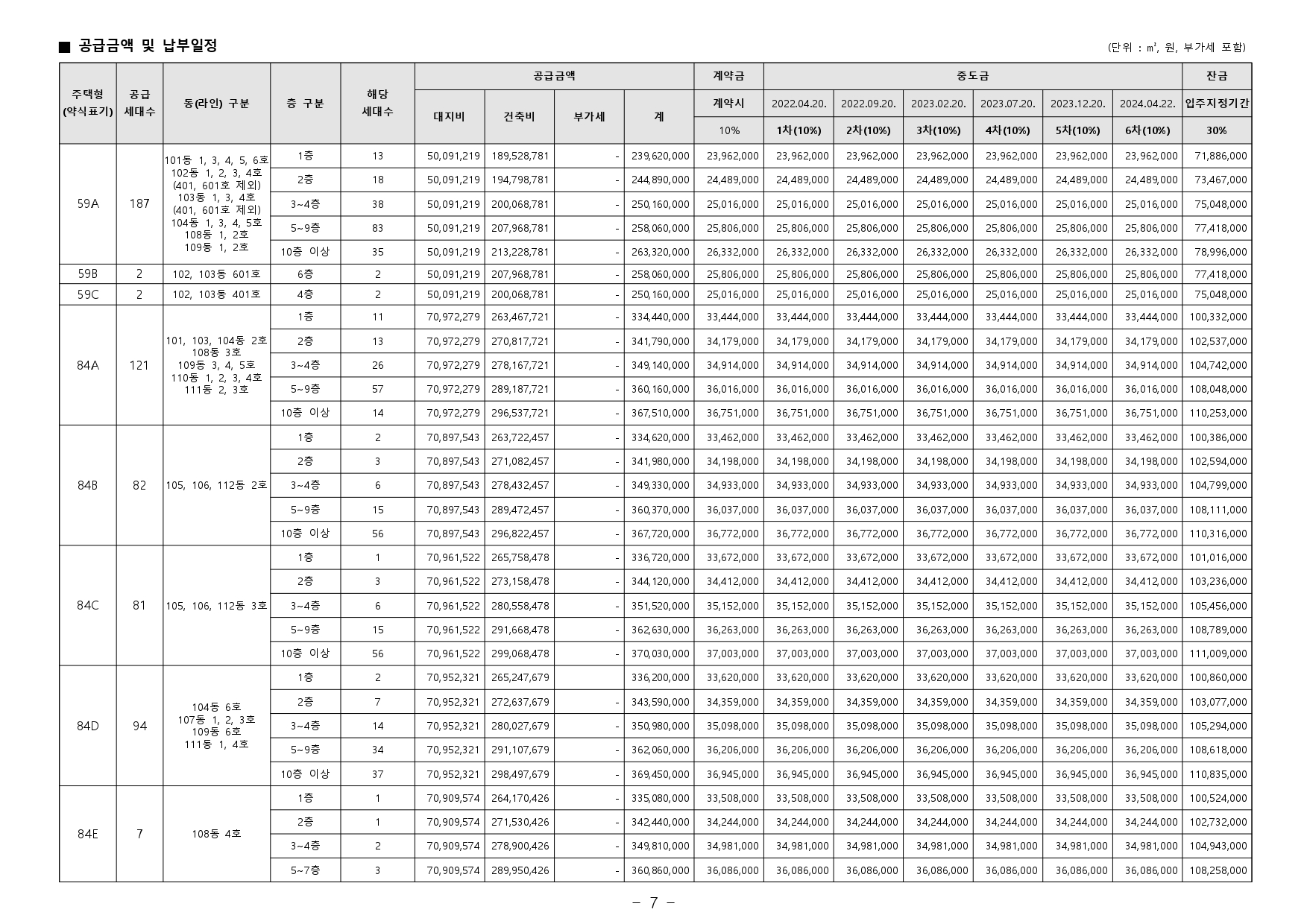
  민간분양 엘리프 세종 입주자 모집공고 (2021.12.24)입니다.
■ 본 아파트는 2021.11.16. 시행된 「주택공급에 관한 규칙」이 적용됩니다.
■ 본 아파트의 최초 입주자모집공고일은 2021.12.24.입니다.(청약자격조건의 기간, 나이, 지역우선 등의 청약자격조건 판단기준일입니다.)
■ 해당 주택건설지역(세종특별자치시(조치원읍))은 「주택법」 제63조 및 제63조의2에 의한 비투기과열지구 및 비청약과열지역으로서, 본 아파트는 「주택공급에 관한 규칙」에 따라 1주택 이상 소유한 세대에 속 한 분도 1순위 자격이 부여됩니다.
■ 본 아파트는 수도권 외 비투기과열지구 및 비청약과열지역의 공공택지에서 공급하는 분양가상한제 적용 민영주택으로 기존주택 당첨여부와 관계없이 본 아파트 청약이 가능하나, 본 아파트에 당첨이 되면 「주 택공급에 관한 규칙」제54조에 따른 10년간 재당첨이 제한됩니다. 다만, 재당첨제한기간 중 투기과열지구 및 청약과열지역이 아닌 민영주택에는 본 아파트의 당첨여부와 관계없이 청약이 가능합니다. (단, 본 제 도는 당첨된 청약통장의 재사용을 허용하는 제도가 아니므로 당첨된 청약통장은 계약여부와 관계없이 재사용이 불가합니다.)

























































반응형
    
    
    
  '금융부동산주식' 카테고리의 다른 글
| 평촌자이아이파크 입주자 모집(21.12.30) (0) | 2022.01.05 | 
|---|---|
| 제6차 서울리츠3호 장기전세주택 입주자 모집(2021.12.30) (0) | 2022.01.03 | 
| 오산 라온프라이빗 스위트 입주자모집공고 (0) | 2021.12.25 | 
| 송도국제도시 B3블록 더샵 송도아크베이 입주자모집공고 (0) | 2021.12.24 | 
| e편한세상 신곡 파크프라임 입주자모집공고(21.12.17) (0) | 2021.12.22 | 
 
										
									 
										
									 
										
									 
										
									
댓글