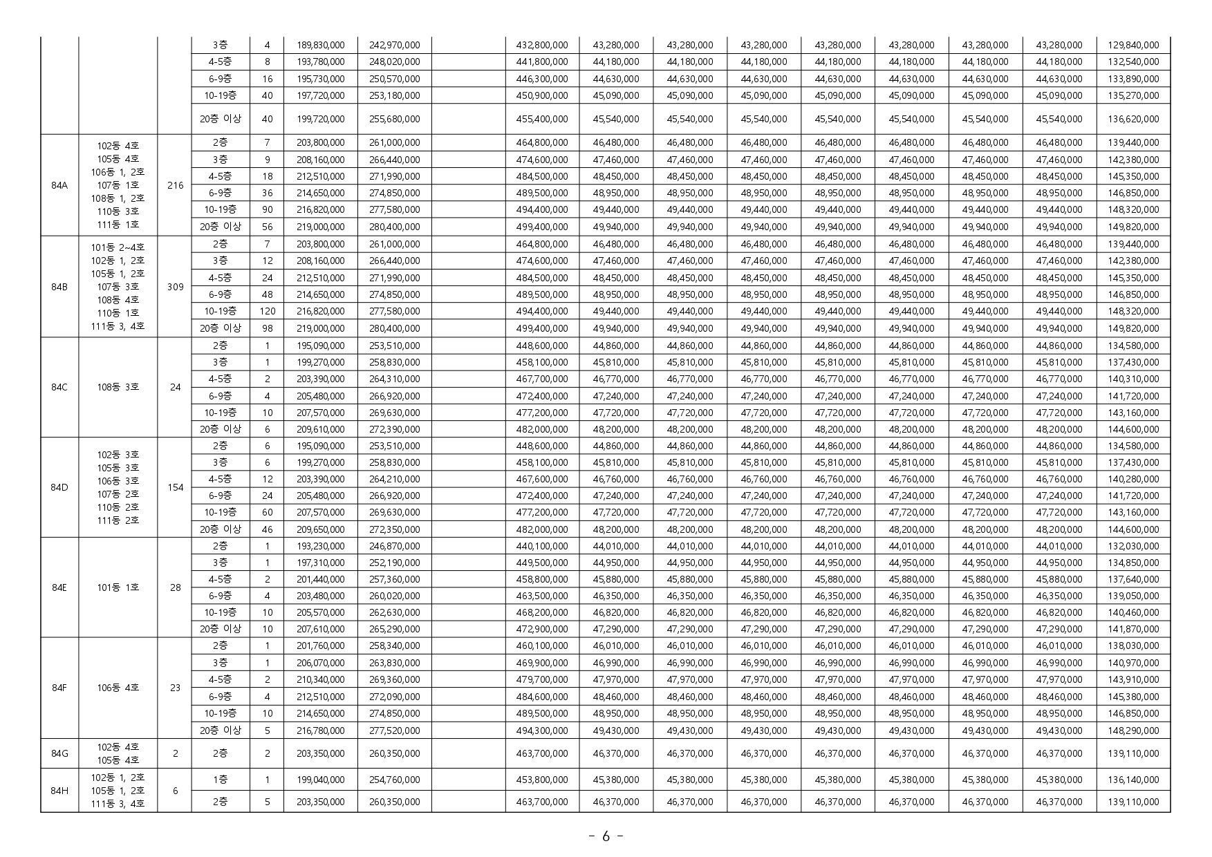
힐스테이트 몬테로이 1BL 입주자 모집공고입니다.
■ 본 아파트는 2021.11.16 시행된 「주택공급에 관한 규칙」이 적용됩니다.
■ 본 아파트의 최초 입주자모집공고일은 2022.01.20.입니다.(청약자격조건의 기간, 나이, 지역우선 등의 청약자격조건 판단기준일입니다.)
■ 해당 주택건설지역(경기도 용인시 처인구 모현읍)은 「주택법」 제63조 및 제63조의2에 의한 비투기과열지구 및 비청약과열지역으로서, 본 아파트는 「주택공급에 관한 규칙」에 따라 1주택 이상 소유한 세대에 속한 분도 1순위 자격이 부여됩니다. 또한 본 아파트는 「수도권정비계획법」 제6조 제1항의 규정에 의한 자연보전권역입니다.
■ 본 아파트는 당첨자 발표일이 동일한 모든 주택(민간 사전청약, 분양주택, 분양전환공공임대주택)에 한하여 1인 1건만 신청이 가능하며, 2건 이상 중복신청 시 모두 무효처리 또는 당첨자 선정 이후에도 당첨 무효(예비입주자 지 위 무효)되오니 유의하시기 바랍니다. (단, 동일단지 내 1인이 특별공급 및 일반공급에 각 1건씩 청약가능하며 특별공급 당첨자로 선정 시 일반공급 선정 대상에서 제외처리 함)
■ 본 아파트는 수도권 자연보전구역 내 비투기과열지구 및 비청약과열지역의 민간택지에서 공급하는 분양가상한제 미적용 민영주택으로 「주택공급에 관한 규칙」 제54조에 따른 재당첨 제한을 적용받지 않고 기존 주택 당첨여부 와 관계없이 본 아파트 청약이 가능합니다. (단, 본 제도는 당첨된 청약통장의 재사용을 허용하는 제도가 아니므로 당첨된 청약통장은 계약여부와 관계없이 재사용이 불가합니다.)
■ 본 아파트의 당첨자로 선정 시 당첨자 및 세대에 속한 자는 당첨일로부터 향후 5년간 투기과열지구 및 청약과열지역에서 공급하는 주택의 1순위 청약접수가 제한되오니 유의하시기 바랍니다.
■ 본 아파트는 최초 입주자모집공고일(2022.01.20) 현재 용인시에 거주하거나 수도권(서울특별시, 인천광역시, 경기도)지역에 거주(주민등록표 등본 기준)하는 만 19세 이상인 자 또는 세대주인 미성년자(자녀양육, 형제자매부양)[국 내에서 거주하는 재외동포(재외국민, 외국국적 동포) 및 외국인 포함]의 경우 청약이 가능합니다. 다만 청약 신청자 중 같은 순위 내에 경쟁이 있을 경우 해당 주택건설지역인 용인시 거주자가 우선합니다.
■ 2019.11.01. 개정된 「주택공급에 관한 규칙」 제4조 제5항 및 제23조 제2항 제7호에 따라 우선공급 받으려는 경우에는 「출입국관리법」제88조의 출입국사실증명서를 사업주체에 제출하여야 합니다. 장기해외체류자는 해당 주택 건설지역 우선공급 대상자로 신청이 불가하며, 이를 위반하여 해당 주택건설지역 거주자로 청약하여 당첨된 경우에는 부적격 당첨자로 처리됩니다.













































'금융부동산주식' 카테고리의 다른 글
| 힐스테이트 몬테로이 3BL 입주자 모집공고 (0) | 2022.01.24 | 
|---|---|
| 힐스테이트 몬테로이 2BL 입주자 모집공고 (0) | 2022.01.24 | 
| 송도 Luxe Ocean SK VIEW(송도 6,8공구 A9블록) 입주자모집공고 (0) | 2022.01.23 | 
| 북서울자이 폴라리스 입주자모집공고(2021.1.11) 서울 아파트 (0) | 2022.01.11 | 
| 평촌자이아이파크 입주자 모집(21.12.30) (0) | 2022.01.05 | 
 
										
									 
										
									 
										
									 
										
									
댓글