반응형
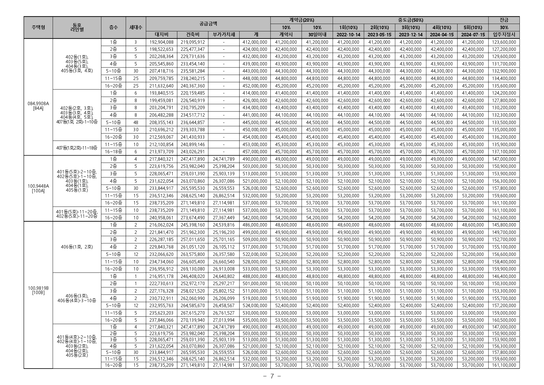
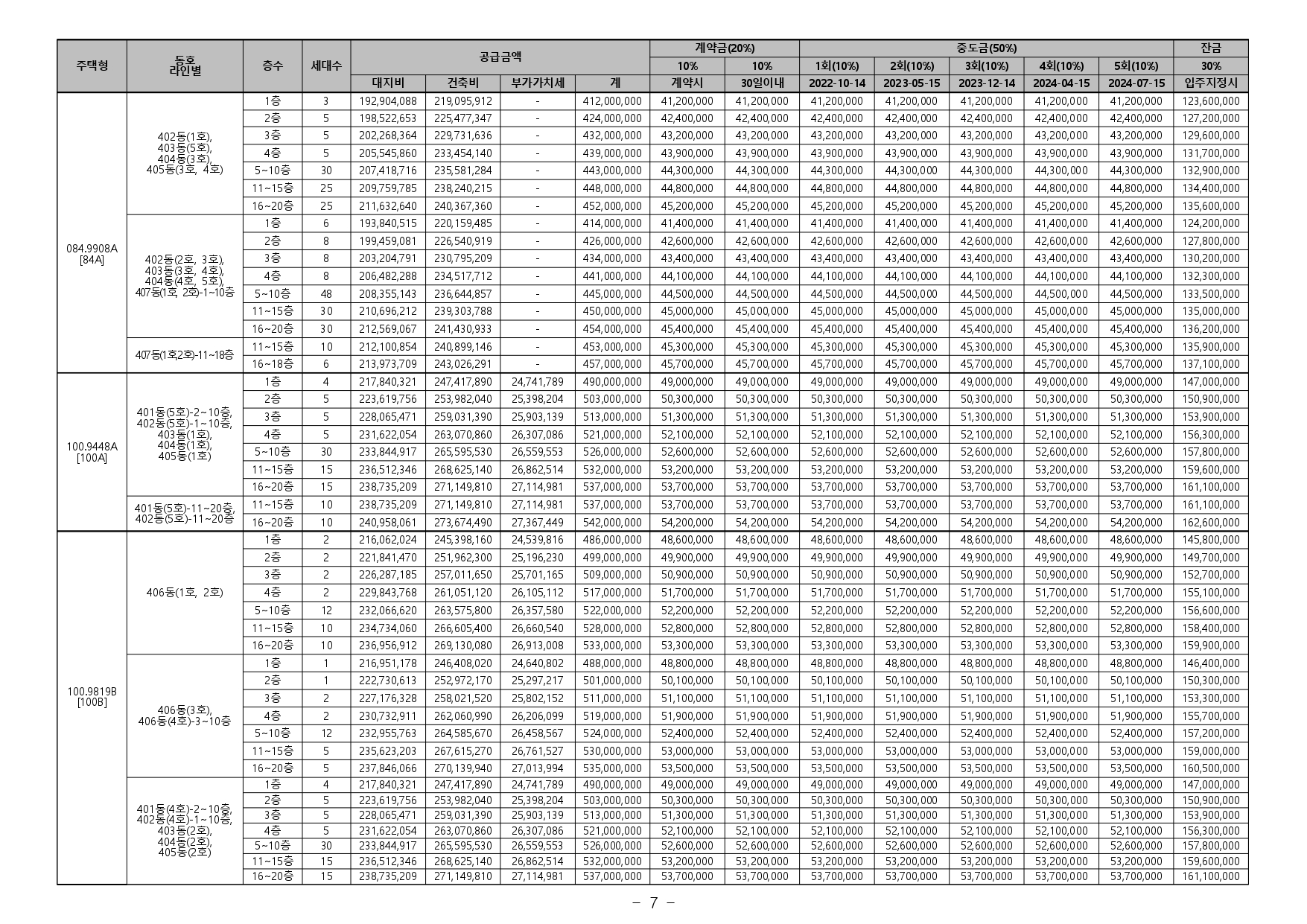
파주운정3지구 블록 신영지웰 운정신도시 입주자모집공고입니다.
자세한 내용은 아래 입주자 모집 공고문을 확인하시기 바랍니다.





















































반응형
'금융부동산주식' 카테고리의 다른 글
| 의왕시 포일동 힐스테이트 인덕원 임차인 모집공고(장기일반민간임대) (0) | 2022.03.09 |
|---|---|
| 2022년 2월 LH 사전청약 입주자모집공고문_신혼희망타운 (0) | 2022.03.03 |
| 이천 마장택지지구 B1블럭 휴먼빌까사포레 아파트 입주자 모집공고(2022.2.24) (1) | 2022.02.25 |
| KTX송도역 서해그랑블 더 파크 입주자모집공고 (0) | 2022.02.25 |
| 수원역 푸르지오 더 스마트 임차인 모집공고 (공공지원민간임대) (0) | 2022.02.24 |
댓글