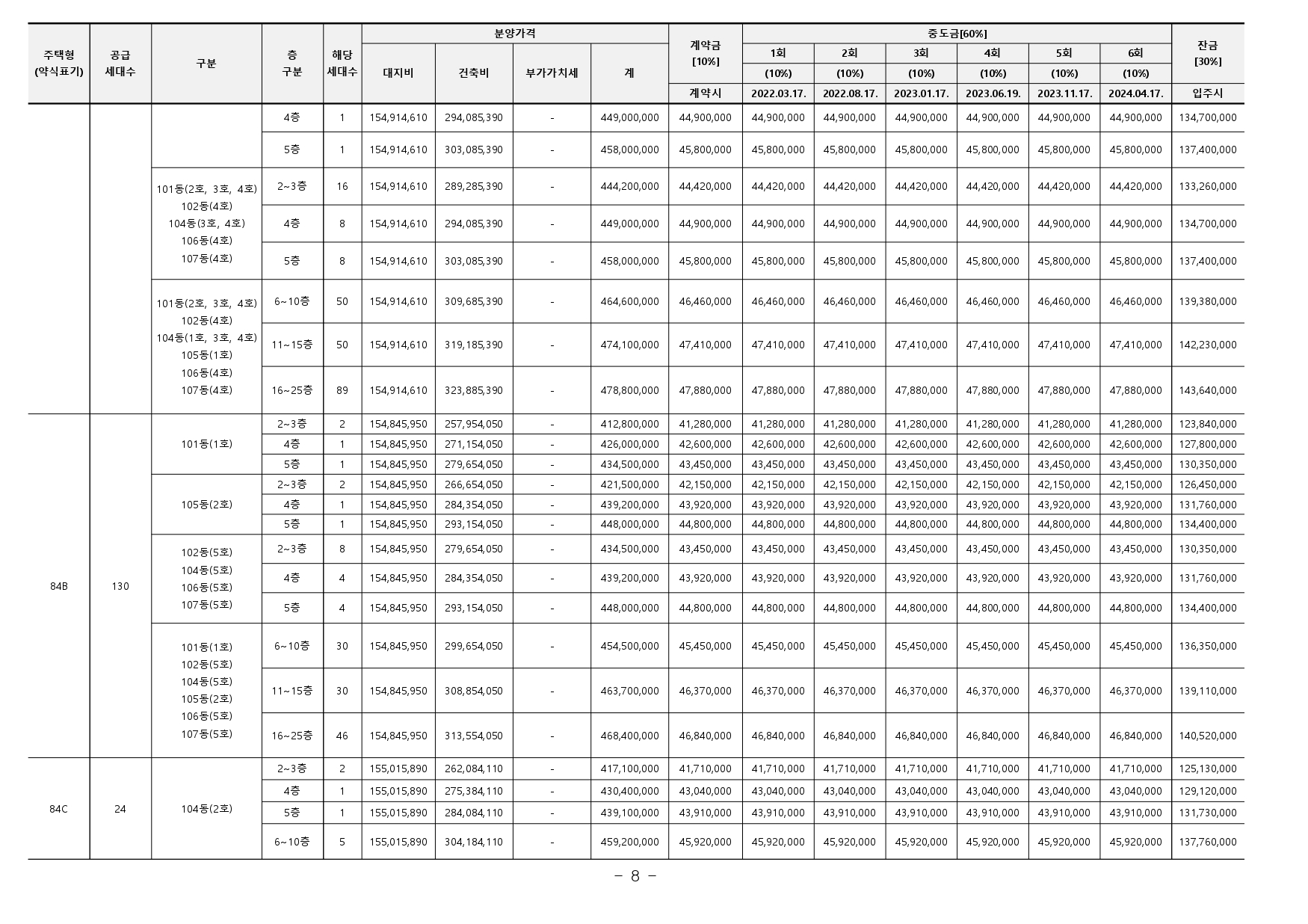
이천자이더파크 아파트 입주자 모집공고(2021.10.1)입니다.
▪ 본 아파트는 2021.07.05. 시행된 「주택공급에 관한 규칙」이 적용되며, 이 공고문에 명시되지 아니한 사항은 「주택법」, 「주택공급에 관한 규칙」등 관계법령에 따릅니다.
▪ 본 아파트의 최초 입주자모집공고일은 2021.10.01.(금) 입니다. (청약자격조건의 기간, 나이, 지역우선 등의 청약자격 조건 판단 기준일입니다.)
▪ 해당 주택건설지역(경기도 이천시)은 「주택법」 제63조 및 제63조의2 규정에 의한 비투기과열지구 및 비청약과열지역으로서, 본 아파트는 주택공급에 관한 규칙에 따라 1주택 이상 소유하신 분도 청약 1순위 자격이 부여됩니다.
▪ 본 아파트는 수도권 내 비투기과열지구 및 비청약과열지역의 민간택지에서 공급하는 분양가상한제 미적용 주택으로 「주택공급에 관한 규칙」 제54조에 따른 재당첨제한을 적용받지 않고 기존 주택당첨여부 와 관계없이 본 아파트 청약이 가능합니다.(단, 본 제도는 당첨된 청약통장의 재사용을 허용하는 제도가 아니며, 당첨된 청약통장은 계약여부와 관계없이 재사용이 불가합니다.)
▪ 본 아파트의 당첨자로 선정 시 당첨자 및 세대에 속한 자는 당첨일로부터 향후 5년간 투기과열지구 및 청역과열지역에서 공급하는 주택의 1순위 청약 접수가 제한되오니 유의하시기 바랍니다.
▪ 본 아파트는 최초 입주자모집공고일 현재 이천시에 거주하거나 수도권(주민등록표등본 기준)에 거주하는 만 19세 이상인 자 또는 세대주인 미성년자(자녀양육, 형제자매부양)[국내에서 거주하는 재외동포(재 외국민, 외국국적 동포) 및 외국인 포함]의 경우 청약이 가능합니다. 다만 청약 신청자 중 같은 순위 내에 경쟁이 있을 경우 해당 주택건설지역인 이천시 거주자가 우선합니다.
▪ 「주택공급에 관한 규칙」 제2조 제2호의2 주택공급 대상자로서 미성년자는 다음 각 목의 어느 하나에 해당하는 세대주로서 각 목의 자녀 및 형제자매는 주택공급을 신청하는 미성년자와 같은 세대별 주민등 록표에 등재되어 있어야 합니다. 가. 자녀를 양육하는 경우 나. 직계존속의 사망, 실종선고 및 행방불명 등으로 형제자매를 부양해야 하는 경우
자세한 내용은 아래를 참고하세요.




































































'금융부동산주식' 카테고리의 다른 글
| 민간분양 동해자이 입주자 모집공고(2021.9.27) (0) | 2021.10.10 |
|---|---|
| 2021 서울번동 3행복주택 입주자 모집공고(21.9.30) (0) | 2021.10.08 |
| 민간분양 오산 세교2지구 중흥 S-클래스 A-4블록 에듀하이, A-9블록 에듀파크 입주자 모집공고(2021.10.1) (0) | 2021.10.03 |
| 결혼 전 버팀목 전세대출에서 신혼부부 버팀목 대출로 쉽게 옮기세요 (0) | 2021.10.03 |
| 대전아파트 리더스시티 공공분양주택 4블록 입주자 모집공고(9.30) (0) | 2021.10.01 |
댓글